Alipour Industrial Complex
مجتمع صنعتی علیپور / مجمع الصناعی علیبور

تماس با ما

درباره ما

اخبار

دریافت کاتالوگ

پروژه ها

محصولات

صفحه نخست
اخبار سايت



سیلوی سیمان با ظرفیت اسمی 100 تن
9 آذر 1389 - 22:04 ب.ظ

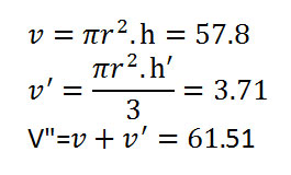
سيلوهای سيمان 100 تن موجود در بازار به صورت ظرفيت اسمی 100تن بوده كه از فرمول محاسبه زیر بدست می آید.

- قطر مخزن سيلو d = 2.86

- شعاع مخزن سيلو r = 1.43

- ارتفاع مخزن سيلو h=9

- شعاع مخروط rَ=1.43

- ارتفاع مخروط hَ =1.6

- حجم مخزن سيلو = v

- حجم مخروط = َv  

 

با استناد به كتاب مبحث ششم مقررات ملی ساختمان صفحه 99 جدول پ 6-2 وزن مخصوص سيمان x=1.6 ميباشد كه بدين ترتيب حجم سيلوی ساخته شده 98.416 تن ميباشد.

حجم سيلو ( تن ) = x × v" = 1.6×61.51 = 98.416 Ton

ضمناً اندازه های فوق حداكثر اندازه ای است كه می توان سيلو را ساخت بدون اينكه حمل آن با تريلی به صورت بار ترافيكی با اسكورت شود و هر گونه اضافه شدن به اين سايز باعث می شود كه حمل و نقل آن به صورت ترافيكی با اسكورت شود .

فرمول محاسبه "،" سیلو "،" سیلوهای سیمان "،" ظرفیت اسمی "،" مقررات ملی ساختمان "،" مبحث ششم "،" سیمان
شماره صفحات: « 1,2,3 » (24 خبر در 3 صفحه)